The Daily Insight
general /

Which vitamin is coenzyme A?

Pantothenic acid

.

Similarly one may ask, wHAT IS A in coenzyme A?

Coenzyme A is a coenzyme containing pantothenic acid, adenosine 3-phosphate 5-pyrophosphate, and cysteamine; involved in the transfer of acyl groups, notably in transacetylations.

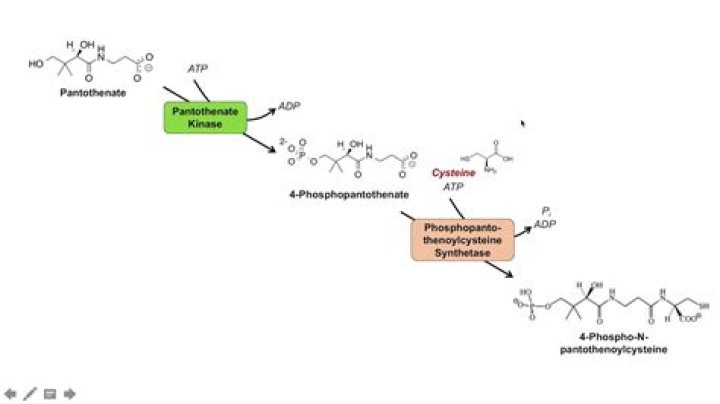
Furthermore, what are the three components of coenzyme A? The monster coenzyme A (CoA) consists of three parts:

  • The body: vitamin B5.
  • The head: a form of ADP.
  • The tail: beta-mercaptoethylamine.

Besides, which B vitamins are coenzymes?

Some are better known by name than number: niacin, pantothenic acid, biotin and folate. Each B vitamin is either a cofactor (generally a coenzyme) for key metabolic processes or is a precursor needed to make one.

What is the relationship between vitamins and coenzymes?

Vitamins, Cofactors and Coenzymes. Nonprotein components of certain enzymes are called cofactors. If the cofactor is organic, then it is called a coenzyme. Coenzymes are relatively small molecules compared to the protein part of the enzyme and many of the coenzymes are derived from vitamins.

Related Question Answers

Is coenzyme A vitamin?

Coenzyme A is naturally synthesized from pantothenate (vitamin B5), which is found in food such as meat, vegetables, cereal grains, legumes, eggs, and milk. In humans and most living organisms, pantothenate is an essential vitamin that has a variety of functions.

Is ATP a coenzyme?

ATP Is a Coenzyme. ATP (adenosine 5′-triphosphate) is the main energy currency in living cells. There are dozens of molecules that can be used in a wide variety of different reactions and these are referred to as coenzymes or cofactors. ATP is one of them.

Why is coenzyme A important?

functions of vitamins protein metabolism; this coenzyme (coenzyme A) acts at the hub of these reactions and thus is an important molecule in controlling the interconversion of fats, proteins, and carbohydrates and their conversion into metabolic energy.

What do you mean by coenzyme?

Coenzymes are small molecules. They cannot by themselves catalyze a reaction but they can help enzymes to do so. In technical terms, coenzymes are organic nonprotein molecules that bind with the protein molecule (apoenzyme) to form the active enzyme (holoenzyme).

What is coenzyme A derived from?

Coenzyme A or CoA is derived from pantothenic acid and adenosine triphosphate (ATP) and used in metabolism in areas such as fatty acid oxidization and the citric acid cycle. Its main function is to carry acyl groups such as acetyl as thioesters.

What is the function of CoA sh?

Coenzyme A (CoA, CoASH, or HSCoA) is a coenzyme, well known for it's role in the synthesis and oxidation of fatty acids, and the oxidation of pyruvate in the citric acid cycle.

Where does acetyl CoA come from?

Acetyl-CoA is generated either by oxidative decarboxylation of pyruvate from glycolysis, which occurs in mitochondrial matrix, by oxidation of long-chain fatty acids, or by oxidative degradation of certain amino acids. Acetyl-CoA then enters in the TCA cycle where it is oxidized for energy production.

Is acetyl CoA a fatty acid?

Fatty acid synthesis is the creation of fatty acids from acetyl-CoA and NADPH through the action of enzymes called fatty acid synthases. This process takes place in the cytoplasm of the cell. Most of the acetyl-CoA which is converted into fatty acids is derived from carbohydrates via the glycolytic pathway.

What are the symptoms of lack of vitamin B?

Symptoms of Vitamin B12 Deficiency
  • Weakness, tiredness, or lightheadedness.
  • Heart palpitations and shortness of breath.
  • Pale skin.
  • A smooth tongue.
  • Constipation, diarrhea, loss of appetite, or gas.
  • Nerve problems like numbness or tingling, muscle weakness, and problems walking.
  • Vision loss.

What are the benefits of taking vitamin B?

Vitamin B complex helps prevent infections and helps support or promote:
  • cell health.
  • growth of red blood cells.
  • energy levels.
  • good eyesight.
  • healthy brain function.
  • good digestion.
  • healthy appetite.
  • proper nerve function.

Which vitamin B is best?

  • Best Overall: Divine Bounty Super B-Complex.
  • Best Budget: Nature's Bounty Super B-Complex.
  • Best Vegan: Garden of Life Vitamin B-Complex.
  • Best for Stress: Thorne Research Stress B-Complex.
  • Best Liquid: Nature's Bounty Vitamin B Complex Sublingual Liquid.
  • Best Gummies: Vitafusion B Complex Gummy Vitamins.

Can biotin cause heart palpitations?

High cholesterol: Animal studies have shown that biotin (along with chromium) can reduce cholesterol and triglycerides. Cardiac Arrhythmia: Biotin deficiency can cause you to suffer palpitations, skipped beats and other electrical disturbances that can cause a fatal heart attack.

Who discovered vitamin b12?

The vitamin was isolated by two groups simultaneously and was crystallized and characterized in the laboratory of Dorothy Hodgkin, contributing to her Nobel Prize in 1964.

Is vitamin D a cofactor?

Other nutrients also act as cofactors for vitamin D, meaning they help the body use or absorb the vitamin, including magnesium, boron, zinc and vitamin A. Magnesium is used in many of the enzymes which help the body use vitamin D,5 and boron increases the level of vitamin D in the blood.

Which fruit is rich in vitamin B?

Vitamin content of f ruit and vegetables
Fruit Vitamin
Apricots Vitamin A Vitamin B1 Vitamin B2 Vitamin B6 Vitamin C Folate (folic acid)
Apple Vitamin A Vitamin B1 Vitamin B2 Vitamin B6 Vitamin C Folate (folic acid)
Banana Vitamin A Vitamin B1 Vitamin B2 Vitamin B6 Vitamin C Folate (folic acid)

Are vitamins cofactors?

There are two types of cofactors: inorganic ions [e.g., zinc or Cu(I) ions] and organic molecules known as coenzymes. Most coenzymes are vitamins or are derived from vitamins. Vitamins are organic compounds that are essential in very small (trace) amounts for the maintenance of normal metabolism.

Is b12 same as B complex?

This is especially true with the B vitamins, which are highly dependent on each other. Yet, it's common for B-complex supplements to contain 50 milligrams of each individual vitamin. B12 is found only in animal products, so vegans often need B12 supplements, unless they are eating foods fortified with B12.

What is a coenzyme in biology?

Definition. noun, plural: coenzymes. A complex organic (or metalloorganic) molecule required by a particular enzyme to carry out catalysis of a chemical reaction. Supplement. Coenzymes are small organic molecules that are needed by certain enzymes for them to function.

What is c3h4o3?

Vitamin C has an empirical formula of C3H4O3 and a molecular mass of 176. This is the standard technique to get molecular formulae,given empirical formula & molecular mass.