The Daily Insight
general /

How do you find the arithmetic mean and harmonic mean?

The harmonic mean is a type of numerical average. It is calculated by dividing the number of observations by the reciprocal of each number in the series. Thus, the harmonic mean is the reciprocal of the arithmetic mean of the reciprocals. [Important: the reciprocal of a number n is simply 1 / n.]

.

Simply so, what is the formula for harmonic mean?

The general formula for calculating a harmonic mean is: Harmonic mean = n / (∑1/x_i) Where: n – the number of the values in a dataset.

Also, why is it called harmonic mean? From Wikipedia, the free encyclopedia. In mathematics, the harmonic mean (sometimes called the subcontrary mean) is one of several kinds of average, and in particular, one of the Pythagorean means. Typically, it is appropriate for situations when the average of rates is desired.

how do you find the arithmetic mean geometric mean and harmonic mean?

For two numbers x and y, let x, a, y be a sequence of three numbers. If x, a, y is an arithmetic progression then 'a' is called arithmetic mean. If x, a, y is a geometric progression then 'a' is called geometric mean. If x, a, y form a harmonic progression then 'a' is called harmonic mean.

What is the difference between geometric mean and harmonic mean?

The arithmetic mean is appropriate if the values have the same units, whereas the geometric mean is appropriate if the values have differing units. The harmonic mean is appropriate if the data values are ratios of two variables with different measures, called rates.

Related Question Answers

How do you find the harmonic mean of 3 numbers?

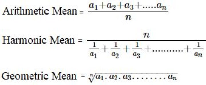
Mathwords: Harmonic Mean. A kind of average. To find the harmonic mean of a set of n numbers, add the reciprocals of the numbers in the set, divide the sum by n, then take the reciprocal of the result. The harmonic mean of {a1, a2, a3, a4, . . ., an} is given below.

What is CV in statistics?

The coefficient of variation (CV) is a measure of relative variability. It is the ratio of the standard deviation to the mean (average). For example, the expression “The standard deviation is 15% of the mean” is a CV.

How do you calculate harmonics?

Harmonics are positive integer multiples of the fundamental. For example, if the fundamental frequency is 50 Hz (also known as the first harmonic) then the second harmonic will be 100 Hz (50 * 2 = 100 Hz), the third harmonic will be 150 Hz (50 * 3 = 150 Hz), and so on.

What are the merits and demerits of harmonic mean?

The harmonic mean has the following merits. It is rigidly defined. It is based on all the observations of a series i.e. it cannot be calculated ignoring any item of a series. It is capable of further algebraic treatment. It can be calculated even when a series contains any negative value.

What is harmonic sequence and examples?

Example 4: 1/3, 1/6, 1/9 , are examples of Harmonic Sequence. Another example of Harmonic Sequence is 6, 3, 2. The reciprocals of each term are 1/6, 1/3, 1/2 which is an Arithmetic Sequence with a common difference of 1/6.

Why use geometric mean instead of arithmetic mean?

If an arithmetic mean were used instead of a geometric mean, the financial viability would have greater weight because its numeric range is larger. The use of a geometric mean normalizes the differently-ranged values, meaning a given percentage change in any of the properties has the same effect on the geometric mean.

What is the formula of arithmetic mean?

Arithmetic Mean. The arithmetic mean is the sum of all the numbers in a data set divided by the quantity of numbers in that set. More precisely, The arithmetic mean x of a collection of n numbers (from a 1 a_1 a1 through a n a_n an) is given by the formula. x ‾ = 1 n ∑ i = 1 n a i = a 1 + a 2 + a 3 + ⋯ + a n n .

How do you find the arithmetic mean?

One method is to calculate the arithmetic mean. To do this, add up all the values and divide the sum by the number of values. For example, if there are a set of “n” numbers, add the numbers together for example: a + b + c + d and so on. Then divide the sum by “n”.

What does geometric mean tell you?

In mathematics, the geometric mean is a mean or average, which indicates the central tendency or typical value of a set of numbers by using the product of their values (as opposed to the arithmetic mean which uses their sum).

What is the harmonic mean of two numbers?

Harmonic Mean is one of the several kinds of average. Mathematically, the harmonic mean between two numbers a and b is defined as. H = 2/ (1/a + 1/b) This can further be written as: H = 2ab/(a+b)

Is geometric mean always less than arithmetic mean?

In mathematics, the inequality of arithmetic and geometric means, or more briefly the AM–GM inequality, states that the arithmetic mean of a list of non-negative real numbers is greater than or equal to the geometric mean of the same list; and further, that the two means are equal if and only if every number in the

How do you find the harmonic mean for grouped data?

Harmonic mean is used to calculate the average of a set of numbers. The number of elements will be averaged and divided by the sum of the reciprocals of the elements. It is calculated by dividing the number of observations by the sum of reciprocal of the observation.

How do you find the arithmetic mean on a calculator?

Arithmetic mean formula where n is the total number of values and xi (x2, x1, ,xn) are the individual numbers in the data set. In words: It's the sum of all values, divided by the total number of values.

How do you calculate harmonic mean in Excel?

Function Description The Excel Harmean function calculates the harmonic mean of a supplied set of values. The syntax of the function is: HARMEAN( number1, [number2], ) Where the number arguments are one or more positive numeric values (or arrays of numeric values), for which you want to calculate the harmonic mean.

How do you find the mode?

The mode of a data set is the number that occurs most frequently in the set. To easily find the mode, put the numbers in order from least to greatest and count how many times each number occurs. The number that occurs the most is the mode!

What is geometric mean PDF?

GEOMETRIC MEANS OF POSITIVE REAL NUMBERS. The geometric. mean √ab of positive real numbers aand b“squares the rectangle”, i.e., gives the. length of the side of the square with the same area as the rectangle with sides of. length aand b.

What is the median of these numbers?

Mean vs Median The mean (average) is found by adding all of the numbers together and dividing by the number of items in the set: 10 + 10 + 20 + 40 + 70 / 5 = 30. The median is found by ordering the set from lowest to highest and finding the exact middle. The median is just the middle number: 20.

What is the difference between geometric and arithmetic?

An arithmetic sequence is a sequence with the difference between two consecutive terms constant. The difference is called the common difference. A geometric sequence is a sequence with the ratio between two consecutive terms constant. This ratio is called the common ratio.

What's the difference between mean and average?

The "mean" is the "average" you're used to, where you add up all the numbers and then divide by the number of numbers. The "median" is the "middle" value in the list of numbers. If no number in the list is repeated, then there is no mode for the list.